传播|中疾控周报:新冠病毒能在“握手楼”中通过气溶胶传播( 二 )
同时 , 该研究每10分钟在6个地点监测不同粒径的浓度和空气条件 。 PM10采样器和生物气溶胶采样器用于采集气溶胶样品 , 而沉淀物样品用棉签采集 。 户外实验结束后 , 研究者在实验室用荧光显微镜观察不同样品中的黄色和绿色荧光颗粒 , 并直接从户外读取的数据进行分析 。
在建筑外布局上 , 二楼为发热门诊楼层 , 五层楼为常规门诊楼层 。 两座建筑物的外墙之间的距离为51厘米 。 走廊窗户与对面中医诊所窗户距离为77厘米 。 二楼的隔离区和对面的中医诊所通过两栋建筑之间的外部天花板形成了一个相对封闭的空间 。
在建筑物的内部房间布局中 , 地点1-6是试验地点 。 三角形(a-c)是影响气流分布的因素:(a)空调 , (b)门;(c)窗口 。 红点是雾化器所在的位置 。 风扇符号显示空调已打开 。 绿色颗粒是荧光微球 , 模拟指示病例呼出的病毒气溶胶和传播扩散路径 。
模拟实验共获得现场数据7411个 , 样品304个 , 其中擦拭物体表面的棉签样品210个 , 气溶胶液体样品54个 , 气溶胶过滤膜样品40个 。
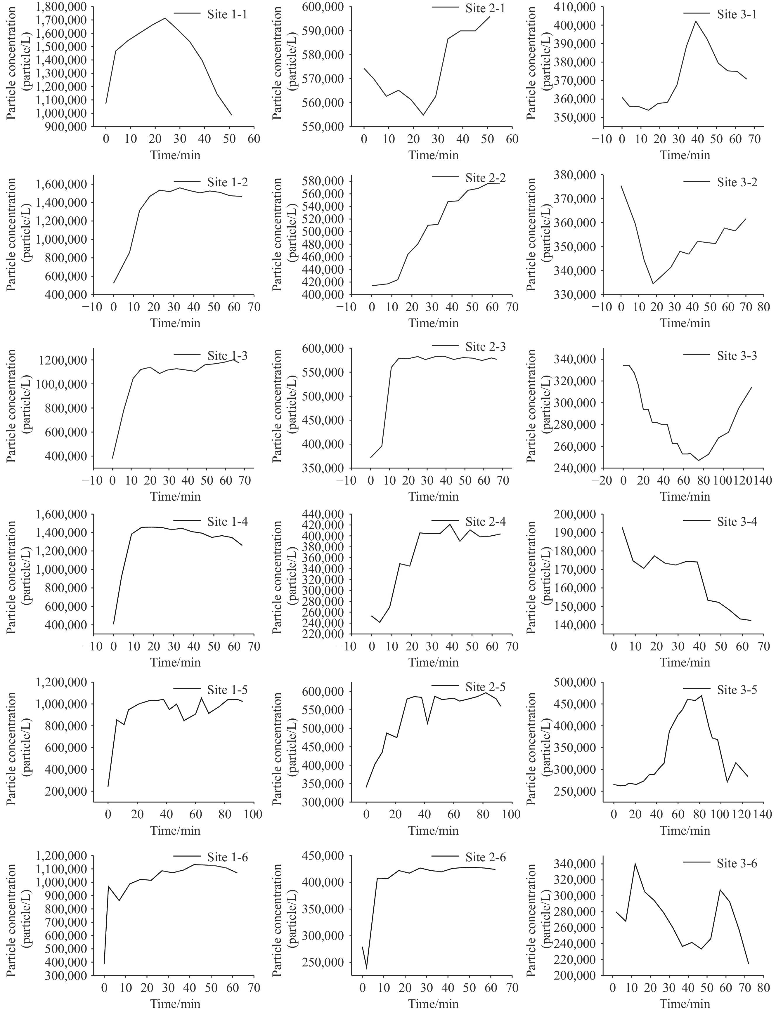
病区1采用雾化荧光微球模拟感染者呼吸 , 通过气溶胶颗粒浓度变化观察地点2走廊及地点3对面房间的扩散情况 , 结果如图2所示 。 在病区1,0.3μm的颗粒浓度显着增加并在上升到最高水平后保持稳定 , 0.5μm、1μm、2.5μm、5μm和10μm的颗粒浓度也保持稳定 。 荧光微球雾化后 , 走廊内的粒子浓度立即开始上升 , 并在达到最高值后保持不变 。 与病房1的变化相比 , 地点3即对面房间的颗粒浓度的峰值时间相对延迟 。 荧光微球雾化后20-40分钟 , 地点3即对面房间的粒子浓度开始上升 。 监测期间仅检测到峰值浓度 , 未检测到高浓度的平台期 。 在某些情况下 , 地点3即对面房间的颗粒浓度没有明显变化 。 同时 , 在上述3个地点采集的气溶胶过滤膜样品、气溶胶液体样品和拭子样品中都检测到了荧光微球(图3) 。 结果表明 , 从病房1到走廊再到对面房间 , 整个气溶胶传输链都被证明存在 。
文章图片
研究者通过6种不同的场景评估了(A)空调、(B)门和(C)窗户对气溶胶传播的影响 。 结果表明 , 在空调、门窗全部关闭的情况下 , 对1号病区的荧光微球雾化后 , 3号房的空气过滤膜样品和液体样品中均未发现荧光微球 。 研究表明 , 当气流较差时 , 荧光微球不易扩散到3号房间 。 当空调、门窗都打开时 , 荧光微球迅速扩散到3号房间 。 只要打开空调 , 气流在病房内流通 , 即使门窗关闭 , 走廊和3号房间的颗粒浓度也缓慢上升 。 一旦一扇门打开 , 走廊里的颗粒物可以在5分钟内升到最高浓度 , 但3号房间的颗粒物浓度变化影响较小 。 一旦打开窗户 , 即使门是的关上 , 3号房间的颗粒浓度也会迅速而显着地升高 。
文章图片
此外 , 在空调开启的情况下 , 研究了门窗和人员移动对气溶胶传播到3号房间附近的5号办公室和6号房间的影响 。 在实验过程中 , 人们每10分钟离开3号房间 , 进入等候区和6号房间 。 结果表明 , 在等候区、5号办公室和6号房间关闭窗口时 , 在气溶胶过滤膜样品和液体样品中均未检测到荧光微球 。 一旦打开窗户 , 等候区和6号房间的样品中就能检测到荧光微球 , 但5号办公室没有检测到荧光微球 , 因为5号办公室没有人员进出 。 可以发现 , “握手楼”的气溶胶传播的风险在楼对面的窗户关闭时是低的 。
- 疫苗|【992 | 速看】传播能力有所增强!有关奥密克戎变异株,最新解答来了!
- 人员|速扩!江西疾控刚刚发布新冠疫情紧急风险提醒!这些人须集中隔离!
- 隔离|如何帮治疗、隔离中的孩子做好心理调适?专家给出建议
- 宁明县|梅州出现奥密克戎!广州疾控紧急提醒
- 中老年|抖音每天发出上亿次适度使用提醒
- 脏腑|重庆肿瘤专科医院:中医帮你调和气血,平衡阴阳
- 心脑血管|大荔中医医院脾胃肺病科“妙手回春”受到患者的称赞
- 相关|【中国实用外科杂志】肥胖代谢病合并甲状腺癌外科治疗中国专家共识(2021版)
- 病例|河南省疾控中心提醒:应对奥密克戎,这件事很重要!
- 需求|预约诊疗 | 齐齐哈尔市中医医院1月17日—1月23日医生出诊一览表
