胆固醇|非小细胞肺癌患者能否从K药中获益?这个指标没准能预测

文章图片

文章图片
免疫检查点抑制剂(ICI)是晚期非小细胞肺癌(NSCLC)的新型疗法 。 目前 , 以针对程序性死亡受体及其配体(PD-1/PD-L1)通路为代表的免疫检查点抑制剂治疗 , 有非常多的研究在如火如荼地开展 。
K药 , O药 , I药 , T药 , Y药……药物研发进展迅速 , 各种新药层出不穷 , 并且以其优秀的表现披荆斩棘 , 走向了临床 。
图1
非小细胞肺癌患者能否从K药中获益?
药物虽多 , 但对于晚期非小细胞肺癌来讲 , 多数获批的指征是与标准化疗联合使用的 , 这时一般无需考虑PD-L1的表达状况 。 而说到非小细胞肺癌中的单药免疫治疗 , 也许就只有帕博利珠单抗(Pembrolizumab , K药)了 。 对于PD-L1≥50%的非小细胞肺癌患者 , K药可以单独作为一线药物使用 。
然而 , 并非所有PD-L1高表达的患者都能从K药中获益 。 是否有哪些临床因素可以预测患者能从K药获益呢?近期 , 一篇发表在《肺癌》国际学术杂志上的研究 , 给了我们一些启示 。
治疗前的肿瘤大小和转移器官数目 , 能在一定程度上反映肿瘤负荷大小和疾病程度 , 那么这些因素与K药治疗反应有无相关呢?
为此 , 研究者纳入PD-L1高表达(≥50%)、体力状况评分较好(ECOG≤2分) , 一线接受K药治疗的晚期非小细胞肺癌患者 , 开展了一项回顾性研究(图1) 。 他们在这项研究中用基线肿瘤最大直径总和(bSLD)来反映肿瘤大小 , 同时研究了治疗前后肿瘤最大直径变化及转移器官数(NMO)等与K药治疗的关系 , 包括无进展生存期(PFS)和总生存期(OS)(图2) 。
图2.研究设计
基线肿瘤最大直径总和 , 影响生存期
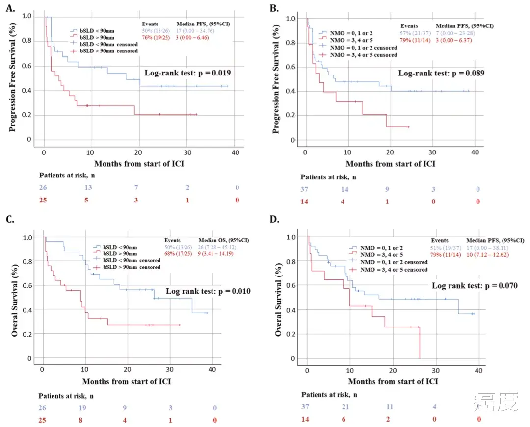
研究者根据前期的分析结果 , 将基线肿瘤的最大直径总和(bSLD) 90mm作为分组的依据 。 结合生存曲线 , 他们发现 , 基线肿瘤最大直径总和能很好地预测PD-L1≥50%、一线接受K药的晚期非小细胞肺癌的无进展生存期和总生存期 。
bSLD<90mm组和bSLD>90mm组患者的中位无进展生存期分别为11.25月和3.03月;与bSLD<90mm的患者相比 , bSLD>90mm的患者疾病进展或死亡风险增加了2.28倍(图3A) 。
而对于总生存期 , 趋势也一致 , 基线肿瘤的最大直径总和较高组的死亡风险增加了2.99倍 , 两组的生存曲线也明显分开(图3C) 。 这表明 , 治疗前肿瘤最大径的总和 , 或许能预测PD-L1高表达晚期非小细胞肺癌患者 , 一线接受K药单药的无进展生存期和总生存期 。
对于转移器官数来讲 , 虽然转移器官数目≤2的群体较>2群体 , 无进展生存期和总生存期上存在获益优势 , 但统计学上并没有达到统计学意义(图3B、3D) , 有待今后更多的研究去验证 。
图3.Kaplan-Meier生存曲线
(A)无进展生存期(基线肿瘤最大直径总和);(B)无进展生存期(转移器官数);(C)总生存期(基线肿瘤最大直径总和);(D)总生存期(转移器官数)
治疗前后的肿瘤最大直径总和改变与基线最大直径总和无明显相关性
治疗前、后 , 肿瘤最大直径的变化是否和疗效有关呢?研究者对此进行了深入的分析 。 但是 , 肿瘤最大直径变化与基线肿瘤的最大直径总和、转移器官数等基线特征并没有明显的相关性(图4A、4B) 。 另外 , 基线肿瘤的最大直径总和、转移器官数也不会对早期中断K药治疗有影响(图4C、4D) 。 这表明 , 肿瘤大小和转移程度并不能很好地预测肿瘤疗效 。
- 清理血管|高血脂的“劲敌”被找到,并非山楂,若你爱吃,血脂或乖乖降下来
- 因为|糖尿病并非不许吃喝,饮食做到这5点,血糖不会差
- 补充|血糖的“抑制器”已找到,并非木耳,若你爱吃,血管或洁净如初
- 杂草|下边三种山野菜,非常容易被当做杂草,实际上营养成分很高!
- 最近几天大雪纷飞非常寒冷,家人爱吃3种好运果,寓意万事顺意
- 冬天非常冷,没事吃的好食物,预防色素沉淀,美容养颜,身体好
- 怀孕胆固醇高危害有哪些呢|怀孕胆固醇高危害有哪些呢
- 非法|湖南16日新增境外输入无症状感染者1例
- 小林|男子一晚呼吸暂停176次?睡觉打鼾并非好事,背后或与这3件事有关
- 新的一周降温20度非常寒冷,大家多吃3种祥云果,寓意万事顺意
