猴痘病毒|中国发现首例人类感染猴B病毒致死病例,患者为53岁男性兽医
《中国疾病预防控制中心周报(英文)》)7月16日报告了我国发现的首例人类感染猴B病毒病例具体情况。患者为一名53岁男性兽医,他在北京一家专门从事非人灵长类动物繁殖和实验研究的机构工作。他在2021年3月4日和6日解剖了两只死猴子,一个月后出现了恶心和呕吐的症状,随后发烧并出现神经系统方面的症状。患者曾在几家医院就诊,最终于5月27日死亡。
在此之前,我国没有报告过猴B病毒感染致死病例,临床上也未发现明显的猴B病毒感染病例。科研人员通过下一代测序和实时聚合酶链式反应在国内发现首例人类感染猴B病毒病例。
据报告,猴B病毒最初于1932年被分离出来,是猕猴体内的一种地方性α疱疹病毒,通常通过直接接触和交换身体分泌物水平传播。猴B病毒在其自然猕猴宿主中并不明显,但约有60例致病性人畜共患猴B病毒感染病例零星发生,其致死率为70%-80%。尽管二次传播的风险较小,但也曾发生过一例人际传播的情况。此前,人畜共患的猴B病毒感染者主要为北美的灵长类动物兽医、动物护理人员或实验室研究人员。
4月17日,科研人员收集了该患者的脑脊液,用下一代测序(NGS)方式获得的285个阅读表明患者脑脊液中可能存在α疱疹病毒感染。为了进一步确定病因,又从该患者和2名密切接触者(1名医生,47岁,男性;1名护士,25岁,女)收集了一些试样,包括脑脊液、水疱液、血液、鼻拭子和口咽拭子,随后于4月19日被送往中国疾控中心国家病毒性疾病预防控制所。
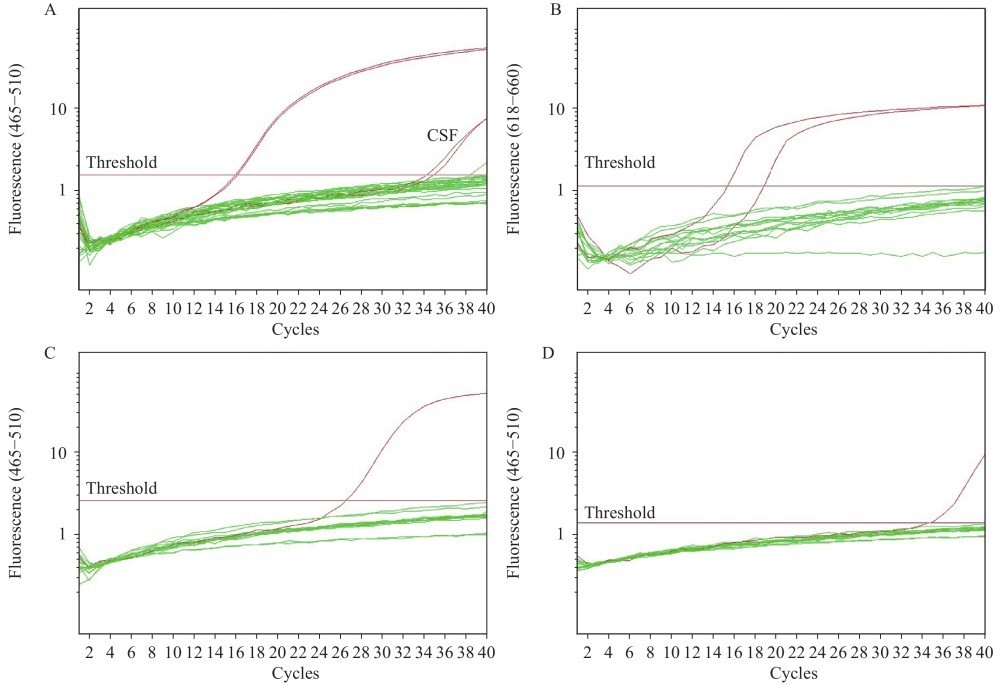
实时聚合酶链式反应结果显示,只有在患者的脑脊液标本中,BV基因组检测为阳性(阈值周期:34),而在患者的其他标本和所有密切接触者的标本中,BV均为阴性;此外,VZV病毒、猴痘病毒和正痘病毒的所有检测均为阴性。这一结果证实了中国首例人类BV感染病例。

文章插图
图1. 通过rtPCR鉴定首例人类感染猴B病毒的病例。(A)BV的rtPCR检测结果;(B)VZV的rtPCR检测结果;(C)猴痘病毒的rtPCR检测结果;(D)正痘病毒的rtPCR检测结果。
报告最后总结中提到,首个病例的发现意味着猴子的B疱疹病毒可能对职业工作者,如灵长类动物兽医、动物护理人员和实验室研究人员等,构成潜在的人畜共患威胁。有必要在特定的无病原体恒河猴群体的发展过程中消除猴B病毒,并加强对中国实验猕猴和职业工作者的监测。
【 猴痘病毒|中国发现首例人类感染猴B病毒致死病例,患者为53岁男性兽医】责任编辑:韦小宇_1042
- 相关|【中国实用外科杂志】肥胖代谢病合并甲状腺癌外科治疗中国专家共识(2021版)
- 中国雄安官网1月14日电(李元闯)在雄安新区安新县|家乡雄安丨杨宏记:村民致富路上的“带头人”
- 接种|北京市累计报告接种新冠病毒疫苗5797.48万剂次
- 国家|全国累计报告接种新冠病毒疫苗293763.2万剂次
- 接种|北京累计接种新冠病毒疫苗2255.82万人
- 春节是中国人心中最重要的传统节日之一|椒盐皮皮虾的做法,外酥里嫩,咸香入味,寓意着大富大贵
- 病毒|海淀病例所感染病毒与北美和新加坡等地部分毒株相似度较高
- 西溪医院|丽水市青田县通报一起新型冠状病毒肺炎复阳病例
- 双下肢|中国家长最喜欢的兴趣班,却没人提醒你它有多危险!
- 病毒|氢气对慢性病意义大!
