公交站点|莱山区2例、开发区6例确诊病例活动轨迹公布!莱山区第二轮核酸检测开始!( 二 )
7月30日 , 6时09分乘78路公交车到烟台火车站北广场站点 , 7时20分换乘28路公交车到开发区欧瑞传动站点 , 步行到华怡美容医院上班;17时47分乘28路公交车到烟台火车站站点 , 换乘58路公交车到莱山区蓝德空调路站点 , 步行返回何家屯 。
7月31日 , 6时23分乘78路公交车到烟台火车站北广场站点 , 7时40分换乘21路公交车到开发区建设银行站点 , 步行到华怡美容医院上班并值夜班 。
8月1日 , 19时10分乘21路公交车到烟台火车站站点 , 19时51分换乘58路公交车到莱山区蓝德空调路站点 , 步行返回何家屯 。
8月2日 , 6时30分陪其母亲乘顺风车鲁FC9J78到威海文登整骨医院看病;13时25分到文登区边府饺子馆吃饭;14时与其母亲乘顺风车鲁FG6Q61返回何家屯 。
8月3日 , 烟台开发区华怡美容医院高某、马某某确诊后 , 于某某作为密切接触者被集中隔离;因出现发热、咽痛等症状 , 随后由救护车从集中隔离场所点对点转运至市级定点医院 。
请上述时间与该2例确诊病例行程轨迹重合的人员及时向所在地街道、社区或疾控中心报告 , 配合接受社区健康监测、流行病学调查及其他防控措施 。
莱山区疾病预防控制中心
2021年8月4日
文章图片
文章图片
莱山区关于开展第二轮全员核酸检测的通告
根据疫情防控要求 , 鉴于目前我区新冠肺炎疫情的严峻形势 , 莱山区决定立即启动第二轮全员核酸检测 。 二轮核酸检测 , 有利于发现潜在的传染者、感染者 , 有效提升病毒检测的精准度和准确性 , 对疫情防控具有重要意义 。 凡是做完第一次核酸检测且间隔24小时以上的莱山居民 , 都可以进行二次检测 。 此次检测自8月5日上午8:30开始 , 全区共设置79个采样点 , 比第一次采样点的数量有所增加 , 计划检测时间2天 , 可根据实际情况有所延长 。 希望广大群众合理安排时间 , 做好避暑降温等保护措施 , 避免聚集、不要拥堵、积极参与 , 共同做好二次核酸检测 , 齐心协力战胜疫情 。
现将有关事宜通告如下:
一、检测范围
莱山区范围内全体居民(含常住人口、流动人口) 。
二、检测地点
采样点分为固定采样点和流动采样点 , 采样点相关信息以各街道园区和社区(村居)通知为准 。
三、注意事项
1.请大家服从社区、村居工作人员的安排 , 在预定时间段到指定采样点自觉接受核酸检测 。 具体检测方式社区、村居会及时通知各位居民 。
2.请广大居民朋友务必携带身份证参加(儿童提供身份证号或携带户口本) , 并尽可能携带智能手机 。
3.为避免感染风险 , 请大家全程佩戴口罩 , 积极配合现场工作人员安排 , 有序排队 , 避免拥挤 , 与他人保持1米以上距离 , 自觉维护检测秩序 。
4.采样前2小时内建议不要饮食 , 30分钟内请勿吸烟、喝酒、嚼口香糖等 , 以防影响检测结果 。
5.无法前往指定检测点的老人、病人等行动不便的人员 , 请家属告知现场工作人员 , 我们将上门采样检测 。
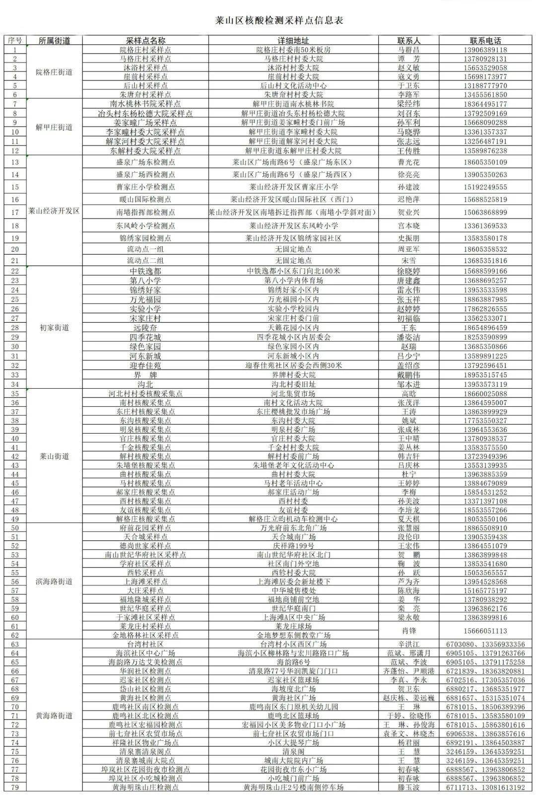
莱山区核酸检测采样点信息表(点击查看大图)
文章图片
莱山区委统筹疫情防控和经济运行
工作领导小组(指挥部)办公室
2021年8月4日
烟台开发区6例确诊病例详细活动轨迹公布
病例1
高某活动轨迹
- 体验传统年俗磨豆腐张森摄中新网温州1月16日电(范宇斌 黄丽云)“杀猪啦!”“来|企业员工浙南山区体验别样“畲族年”:重温儿时年味
- 认知障碍|认知障碍症友善倡导活动走进石景山区老山东里南社区
- 蓬莱是世界七大葡萄酒海岸作为仙境蓬莱贺年会的重要活动之一酒庄风情紫色游一定不容错过如果您...|冬游仙境丨贺新年,品美酒!一起走进仙境蓬莱贺年
- 医疗|远程医疗助力“零距离”把脉、“面对面”问诊 新化偏远山区群众看病不再难
- 医联体协议|崂山区社区卫生服务中心医联体签约暨授牌仪式举行
- 璧山区人民医院|璧山加快高水平医院建设,星城原麓遇见未来品质生活
- 南山区妇幼保健院|喜讯!南山区妇幼保健院入选省级特色专科建设单位
- 小草沟村青年志愿者为莱州金秋旅游文化节暨第二节小草秋韵旅游文化节活动周提供志愿服务 小草...|莱州市郭家店镇小草沟村:打造莱州市乡村振兴先行
- 一无证一假冒 莱芜两家单位被市食药监局查处
- 海口琼山区专项整治“小餐桌” 两家无餐饮许可证的寄宿点被查
