
文章图片

【社区卫生服务中心|北大学者发现,经常喝牛奶,增加中国人肝癌和乳腺癌风险】牛奶是生活中常见的饮品 。 牛奶含有丰富的蛋白质 , 钙元素等多种营养成分 , 能为人体提供充足的蛋白质和钙 , 增强人体的体质 , 提高免疫力 。 然而 , 无论是什么 , 物极必反 , 过量饮用也会对身体产生不利的影响 。
在中国 , 奶酪和黄油的消费量非常少 , 牛奶和酸奶的消费量也远低于西方人口 。 此外 , 由于缺乏分解乳糖的关键酶乳糖酶 , 大多数中国成年人无法正常代谢乳制品 。 早期对于西方人群的研究表明 , 乳制品可能与较低的结直肠癌风险和较高的前列腺癌风险相关 。 然而 , 对于中国人群 , 这些结果可能并不相同 。
2022年5月6日 , 北京大学、中国医学科学院、牛津大学的研究人员在\"BMC Medicine\"期刊上发表了一篇题为\" Dairy consumption and risks of total and site-specific cancers in Chinese adults:an 11-year prospective study of 0.5 million people \"的研究论文 。
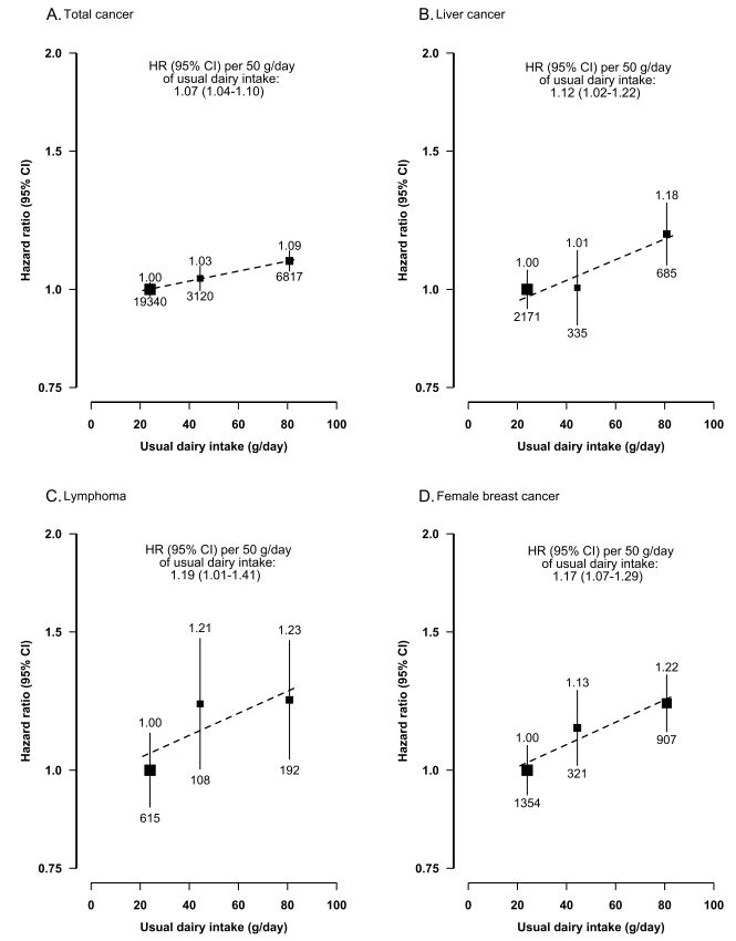
该研究发现 , 在中国成年人中 , 经常食用乳制品的人患肝癌和乳腺癌的风险显著 增加 , 每天多摄入50克 , 风险分别增加12%和17% 。
为了确定乳制品对中国人患癌风险的影响 , 研究人员分析了中国 CKB 数据库中的510146名中国成年人 , 参与者来自中国十个不同的地区 , 之前没有癌症病史 。 在招募时 , 每位参与者完成了一份关于他们食用不同食品频率的问卷 。
研究人员将参与者分为三组:经常乳制品消费者(至少每周一次)、每月乳制品消费者、从不或很少食用乳制品 。
总体而言 , 在所有参与者中 , 20.4%的参与者经常食用乳制品(主要是牛奶) , 11%的参与者每月食用一次乳制品 , 69%从不食用乳制品 。 整个研究人群的平均消费量为每天38克 , 经常乳制品消费者每天的平均消费量为81克 。
研究人员使用来自国家癌症和死亡登记处的数据以及健康保险记录来确定新的癌症诊断 , 包括致命和非致命事件 。 数据分析考虑了一系列可能影响癌症风险的其他因素 , 包括年龄、性别、地区、癌症家族史、生活方式因素等 。
在大约11年的随访期间 , 共发现了29277例新癌症病例 , 其中肺癌(6282例)发病率最高 , 其次是女性乳腺癌(2582例)、胃癌(3577例)、结直肠癌(3350例)和肝癌(3191例) 。
数据分析发现 , 经常食用乳制品的人癌症总体发病风险提高9% , 经常食用乳制品的人患肝癌和乳腺癌的风险显著增加 , 每天多摄入50克 , 风险分别增加12%和17% 。
乳制品摄入量与总体、肝癌、淋巴瘤和乳腺癌发病关系
此外 , 乳制品摄入与结直肠癌、前列腺癌或任何其他类型的癌症之间没有关联 。
研究人员表示 , 虽然这些研究结果不能证明因果关系 , 但有几种可能的生物学机制可以解释这些关联:
第一 , 更多的乳制品消费可能会增加胰岛素样生长因子-I的水平 , 这会促进细胞增殖 , 并与多种癌症的较高风险有关 。
第二 , 牛奶中存在的女性性激素(如雌激素和黄体酮)可能会增加患乳腺癌的风险 , 而乳制品中的饱和脂肪酸和反式脂肪酸可能会增加患肝癌的风险 。
第三 , 对于大多数不能产生足够乳糖酶的中国人来说 , 乳制品也可能被分解成影响癌症风险的产物 。
研究人员强调 , 这是第一项调查中国人群乳制品与癌症风险之间联系的重大研究 , 需要进一步的研究来验证这些发现 , 确定这些关联是否是因果关系 , 并调查所涉及的潜在潜在机制 。
- 北大学者发现,经常喝牛奶,增加中国人肝癌和乳腺癌风险
- 【诊疗新模式】花园路社区卫生服务中心中医康复科打造“专全结合”新模式
- 收藏!郑州医疗机构正常开诊!社区服务中心电话、医院预约诊疗方式公布
- 社区卫生服务中心|“升糖大户”公布,不是烟酒,医生:“2酱”天天用,铁打的胰岛也难扛
- 北大女硕士在大城市受挫,回老家当油漆工,没参加过同学聚会
- 大蒜|北大研究追踪22年:大蒜补充剂能减少癌症死亡!吃大蒜能抗癌吗
- 俗话说“穷清华,富北大,不要命的中科大”,这三所学校怎么了?
- 民盟太原市委会慰问北大医院太原医院(太原市中心医院)医护人员
- 广西浦北大红柑丰收 陈皮产业助农增收
- 北大医院太原医院心内科、神经内科与呼吸内科进行多学科会诊
