高润霖|2500万国人有瓣膜病,患病率3.8%!我国最新瓣膜性心脏病现状研究出炉
融媒体采访人员 贾薇薇
近日,中国医学科学院阜外医院高润霖院士、王增武教授等发表研究称,我国瓣膜性心脏病加权患病率为3.8%,估计我国有2500万瓣膜病患者。研究发现,风湿性心脏病仍是瓣膜病的主要原因,但退行性瓣膜病的患病率明显增加。研究者表示,由于人口老龄化,瓣膜病负担巨大,风湿性心脏病和退行性瓣膜病目前是中国老年人健康的主要威胁。(BMC Cardiovasc Disord.2021,21:339)
我国瓣膜病流行现状具有怎样的特点?如何应对瓣膜病对国民健康造成的危害?防治瓣膜病应重点关注哪些方面?
数说瓣膜病★ 研究发现,根据2010年人口普查数据,瓣膜病加权患病率为3.8%,估计中国有2500万患者。
★ 高血压(5.6%)或慢性肾脏病(9.2%)患者患病率较高。最常见的瓣膜病是主动脉瓣反流(1.2%)。
★ 有瓣膜病的患者中,55.1%为风湿性心脏病,21.3%为退行性病变。
★ 老年人风湿性心脏病患病率(男性2.64%,女性3.71%)明显高于35~54岁人群(男性0.79%,女性1.33%)。

文章插图
高润霖 院士
现阶段我国瓣膜性疾病的防治要兼顾“风湿性心脏病”和“退行性瓣膜病”两者的挑战。
年龄和高血压可能是瓣膜病筛查过程中的标志性因素。
瓣膜病关注度不够 数据有限过去50年间,全球范围内的瓣膜病的病因发生了明显变化,发达国家以退行性病变为主,而在发展中国家,风湿性病变依旧占主要位置。我国曾是风湿性心脏病大国,随着国家经济和人民生活水平的显著提高,流行病学疾病谱逐步出现传染性疾病(包括风湿性疾病)下降、慢性非传染性疾病(如心脑血管病、肿瘤)上升的趋势。同时,人口老龄化日趋严重。“在此背景下,加之对瓣膜病关注度不够,且数据有限,我国的瓣膜病形势并不明朗。”王增武教授说,这也正是开展此项研究的原因,理清我国瓣膜病流行趋势与防治对策。
55.1%风湿性心脏病,且以老年为主如今,“十二五”课题“中国重要心血管病患病率调查及关键技术研究”给出了答案。
研究采用分层多阶段随机抽样的全国横断面调查方法,共调查31 499人,最终1309人被诊断为瓣膜病。根据2010年人口普查数据,瓣膜病加权患病率为3.8%,估计中国有2500万患者。
同时发现,瓣膜病患病率随着年龄的增长而增加,高血压(5.6%)或慢性肾脏病(9.2%)患者中,瓣膜病的患病率较高。
最常见的瓣膜病是主动脉瓣反流(1.2%),其次是二尖瓣反流(1.1%)、三尖瓣反流(0.8%)和二尖瓣狭窄(0.8%)。
有瓣膜病的患者中,55.1%为风湿性心脏病,21.3%为退行性病变。12.1%为继发性瓣膜病,0.9%曾接受换瓣手术。
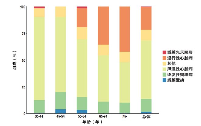
风湿性心脏病的比例随年龄增长而下降,从35~44岁年龄组的77.8%降至≥75岁的38.0%(图1)。

文章插图
图1 不同年龄瓣膜病病因占比
退行性瓣膜病比例随年龄增长而上升,从55~64岁年龄组的18.2%升至75岁以上年龄组的42.5%。
“这给人一种假象,难道风湿性心脏病在老年人群中越来越少了吗?并非如此,患病率分析给出了另一个答案。”王增武教授指出,研究发现,风湿性心脏病的负担主要来自老年人。老年人风湿性心脏病的患病率(男性2.64%,女性3.71%)明显高于35~54岁人群(男性0.79%,女性1.33%,图2)。

文章插图
图2 风湿性心脏病和退行性瓣膜病在不同年龄、性别的患病率(单位:×10-3)
多因素分析提示,年龄和高血压与瓣膜病相关。
- 心血管疾病|87万国人,仅2.8%具备这四个长寿习惯,想长寿就该这样做
- 洛阳市|全员核酸检测,河南2500名医务人员紧急支援新安县
- 骨质疏松|艾滋病第一传播者,知道自己身患艾滋,还和2500人发生关系
- 医学名家|我国2500万人受瓣膜病影响,国内外医学名家探讨“内外一心”治疗大趋势
- 女子花2500做眼袋手术后,左眼“跳不停”!整容机构竟这样回应…
- 维生素b1|全球唯一无癌症的国家,62万国民无一人患癌,他们常吃这3种食物
- 李永红|每年5万国人死于前列腺癌,50岁以上男性:百元PSA检查不妨每年做
- 肿瘤|人福医药终止ALK抑制剂临床试验 已投入约2500万
- 风险|喝茶不养生,还可能“养癌”?50万国人研究:喝茶与多种癌症有关
- 用量|五批药品国家集采节约2500亿,更多创新药“跑步”入医保
